研究揭示转甲状腺素蛋白水平与心脏病风险之间的联系
2024-07-30 17:14:58
•
来源:
导读阿拉巴马大学伯明翰分校 Marnix E. Heersink 医学院的医师科学家发现了有关转甲状腺素蛋白(TTR)蛋白水平对心脏病风险影响的重要发现。...
阿拉巴马大学伯明翰分校 Marnix E. Heersink 医学院的医师科学家发现了有关转甲状腺素蛋白(TTR)蛋白水平对心脏病风险影响的重要发现。

该研究最近发表在《自然通讯》上,探讨了 TTR 水平变化与不良临床结果之间的关系,为预防和管理淀粉样心脏病提供了新的见解。
转甲状腺素蛋白是一种在肝脏中产生的运输蛋白,其错误折叠与心脏淀粉样变性的发展有关,这种疾病会导致心力衰竭和死亡率增加。
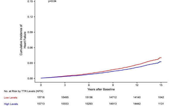
这项研究由医学博士 Pankaj Arora 和医学博士 Naman Shetty 领导,分析了英国生物库中 35,206 名参与者的数据。研究人员调查了 TTR 水平的临床相关性、基于遗传变异的 TTR 水平差异以及 TTR 水平与健康结果的关联。
Arora 及其团队发现,较低的 TTR 水平与心力衰竭和全因死亡风险增加显著相关。具体而言,与 TTR 水平较高的人相比,TTR 水平较低的人患心力衰竭的风险高出 17%,因任何原因死亡的风险高出 18%。这些发现在携带 V142I TTR 基因变体的个体中更为明显,该变体已知会使 TTR 蛋白不稳定。
研究显示,女性的 TTR 水平低于男性,且受多种健康因素影响。收缩压和舒张压、总胆固醇、白蛋白水平、甘油三酯水平和肌酐水平较高与 TTR 水平升高有关。
免责声明:本文由用户上传,如有侵权请联系删除!

